杨辉三角的规律是什么
的有关信息介绍如下:1、 每个数等于它上方两数之和。
2、 每行数字左右对称,由1开始逐渐变大。
3、 第n行的数字有n+1项。
4、
第n行数字和为2^(n-1)(2的(n-1)次方)。
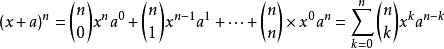
5、 (a+b)^n的展开式中的各项系数依次对应杨辉三角的第(n+1)行中的每一项。
6、 第n行的第m个数和第n-m个数相等,即C(n,m)=C(n,n-m),这是组合数性质。

扩展资料:
应用
与杨辉三角联系最紧密的是二项式乘方展开式的系数规律,即二项式定理。例如在杨辉三角中,第3行的三个数恰好对应着两数和的平方的展开式的每一项的系数(性质 8),第4行的四个数恰好依次对应两数和的立方的展开式的每一项的系数,即

以此类推又因为性质5:第n行的m个数可表示为C(n-1,m-1),即为从n-1个不同元素中取m-1个元素的组合数。因此可得出二项式定理的公式为:

因此,二项式定理与杨辉三角形是一对天然的数形趣遇,它把数形结合带进了计算数学。求二项式展开式系数的问题,实际上是一种组合数的计算问题。用系数通项公式来计算,称为“式算”;用杨辉三角形来计算,称作“图算”。
参考资料来源:百度百科-杨辉三角



