二项分布公式
的有关信息介绍如下:P(X=k)=C(n,k)(p^k)*(1-p)^(n-k)
n是试验次数,k是指定事件发生的次数,p是指定事件在一次试验中发生的概率。
在概率论和统计学中,二项分布是n个独立的是/非试验中成功的次数的离散概率分布,其中每次试验的成功概率为p。这样的单次成功/失败试验又称为伯努利试验。实际上,当n=1时,二项分布就是伯努利分布,二项分布是显著性差异的二项试验的基础。

二项分布是离散型分布,概率直方图是跃阶式的。因为x为不连续变量,用概率条图表示更合适,用直方图表示只是为了更形象些。
1、当p=q时图形是对称的
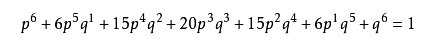
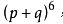
例如,
,p=q=1/2,各项的概率可写作:

2、当p≠q时,直方图呈偏态,p<q与p>q的偏斜方向相反。如果n很大,即使p≠q,偏态逐渐降低,最终成正态分布,二项分布的极限分布为正态分布。
故当n很大时,二项分布的概率可用正态分布的概率作为近似值。一般规定:当p<q且np≥5,或p>q且nq≥5,这时的n就被认为很大,可以用正态分布的概率作为近似值了。
参考资料来源:百度百科-二项分布



