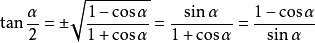
半角公式
的有关信息介绍如下:半角常用公式:



符号√:根号是一个数学符号。根号是用来表示对一个数或一个代数式进行开方运算的符号。若aⁿ=b,那么a是b开n次方的n次方根或a是b的1/n次方。开n次方手写体和印刷体用表示,被开方的数或代数式写在符号左方√ ̄的右边和符号上方一横部分的下方共同包围的区域中,而且不能出界。
半角公式即利用某个角(如A)的正弦、余弦、正切,及其他三角函数,来求其半角的正弦,余弦,正切,及其他三角函数的公式。

常见的倍角公式:
倍角公式,是三角函数中非常实用的一类公式。就是把二倍角的三角函数用本角的三角函数表示出来。在计算中可以用来化简计算式、减少求三角函数的次数,在工程中也有广泛的运用。







参考资料:百度百科-半角公式



