如何用matlab求积分
的有关信息介绍如下:1、使用int函数,函数由integrate缩写而来,int 函数表达式,变量,积分上限,积分下限。
2、比如求一个Fx = a*x^2,在区间(m,n)对x进行积分,
首先要将 m,x,a,b 这四个变量定义为符号变量
syms m x a b;
Fx = a*x^2;
int(Fx,x,m,n)
3、通过上面这个方法,就能够求得任意一个函数在给定区间的积分,如果想看到书写的格式,可以用pretty命令,这样显示更接近平常的表示方法。

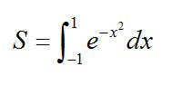
1、在matlab中,积分运算有多种方式,为了便于查看不同方式处理异同,以下面这个积分为例:

2、梯形积分法
第一种,采用最简单的方式,以函数trapz为例,z = trapz(x,y) 其中x表示积分区间的离散化向量,y是与x同维数的向量,表示被积函数,z是返回的积分近似值。
clc,clear。
% 梯形积分法
x = -1:0.001:1,
y = exp(-x.^2),
s = trapz(x,y)
% 计算结果: s = 1.4936
3、高精度数值积分(1)
为了克服梯形积分法精度低的问题,可以采用高精度积分方式,第一种可以采用 z = quad(Fun,a,b) 该方式是自适应步长Simpson计分法求得函数Fun在区间[a,b]上定积分,如下:
clc;clear;
% 梯形积分法
s = quad(inline('exp(-x.^2)'),-1,1)
% 计算结果: s = 1.4936
4、高精度数据积分(2)
采用高精度Lobatto积分法,格式: z = quadl(Fun,a,b)
clc;clear;
% 梯形积分法
s = quadl(inline('exp(-x.^2)'),-1,1)
% 计算结果: s = 1.4936



